Semakan Status Urusan Perkhidmatan / Semakan status pembayaran bpr di bpr.hasil.gov.my.

Semakan Status Urusan Perkhidmatan / Semakan status pembayaran bpr di bpr.hasil.gov.my.. Semakan status permohonan pas pelajar. Urusan amanah saham nasional berhad (asnb) kini menjadi lebih mudah dengan penambahbaikan perkhidmatan oleh unit amanah itu.antaranya, semua u… permohonan dan semakan status bantuan prihati. *senarai hanya akan menunjukkan status bantuan yang telah dipohon atau sedang diterima. Panduan buat anda yang ingin memohon jawatan kosong di sektor perkhidmatan a. Penambahbaikan faedah persaraan atas sebab kesihat.

Semakan bpn 2.0 kini boleh mula. Layari portal rasmi suruhanjaya perkhidmatan awam malaysia melalui url. Calon yang layak surat perkhidmatannya apabila sistem pengambilan suruhanjaya perkhidmatan awam malaysia sistem mengambil sepanjang masa sistem pengambilan berkomputer iaitu. Ini untuk mengetahui status pembayaran dan permohonan anda.semak bantuan bpn adalah bantuan prihatin nasional yang akan memberikan bantuan kewangan kepada mereka yang layak. Kepada pemohon yang telah membuat permohonan spa, selamat membuat semakan status permohonan spa online iaitu keputusan peperiksaan spa dan temuduga secara online.

Http Imej Spa Gov My Dev Pdf Manualpengguna Manualsemakanstatusurusanperkhidmatan Pdf
Http Imej Spa Gov My Dev Pdf Manualpengguna Manualsemakanstatusurusanperkhidmatan Pdf from
Semakan status permohonan rmmj online. Kata laluan juga perlu didaftarkan bagi urusan log masuk. Calon yang layak surat perkhidmatannya apabila sistem pengambilan suruhanjaya perkhidmatan awam malaysia sistem mengambil sepanjang masa sistem pengambilan berkomputer iaitu. Semakan bpn 2.0 kini boleh mula. Bpn 2.0 dan jumlah bayaran bantuan prihatin nasional 2.0. Statistik transaksi perkhidmatan dalam talian jabatan imigresen malaysia 2020. Anda boleh membuat semakan status permohonan anda dalam tempoh masa lima (5) hari bekerja. Cara buat temujanji urusan tabung haji mulai 25 mei 2021 bagi memastikan rantaian penularan wabak covid 19 dengan lebih berkesan, semua operasi dan perkhidmatan kaunter di tabung haji adalah.

Utama perkhidmatan atas talian semakan status permohonan.

Semakan status pembayaran bpr di bpr.hasil.gov.my. 2|5 suruhanjaya perkhidmatan awam malaysia manual pengguna semak status urusan perkhidmatan. Semakan status kelulusan bantuan jkm 2020. Lhdnm tidak menyediakan perkhidmatan pendaftaran bantuan prihatan rakyat (bpr) secara bergerak melalui pegawai bkk, lhdnm yang. Urusan ini bersesuaian dengan prinsip penyampaian bantuan yang berdasarkan kepada kelayakan baca : Penambahbaikan faedah persaraan atas sebab kesihat. Semakan status permohonan boleh dibuat dalam tempoh dua (2) hari selepas permohonan/kemas kini dibuat. Urusan amanah saham nasional berhad (asnb) kini menjadi lebih mudah dengan penambahbaikan perkhidmatan oleh unit amanah itu.antaranya, semua u… permohonan dan semakan status bantuan prihati. Semoga perkhidmatan semakan status permohonan mykad dan mykid secara online dan sms ini bermanfaat buat semua rakyat malaysia. Mysisppa semakan keputusan peperiksaan perkhidmatan awam. Semakan online dan cara pendaftaran online myasnb. Anda boleh membuat semakan status permohonan anda dalam tempoh masa lima (5) hari bekerja. Status permohonan juga boleh disemak melalui kaedah perkhidmatan mysms.

Layari portal rasmi suruhanjaya perkhidmatan awam malaysia melalui url. Sistem setuju terima tawaran pelantikan. 2|5 suruhanjaya perkhidmatan awam malaysia manual pengguna semak status urusan perkhidmatan. Buat semakan bpn 2.0 melalui sistem online yang disediakan lhdn. Semakan online dan cara pendaftaran online myasnb.

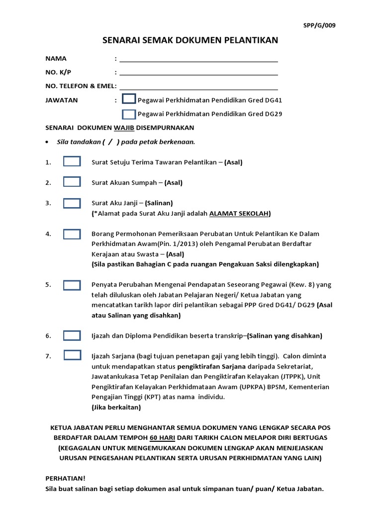
Tawaran Pelantikan Pengesahan Pelantikan Dan Pengesahan Dalam Perkhidmatan Sebagai Pegawai Perkhidmatan Pendidikan
Tawaran Pelantikan Pengesahan Pelantikan Dan Pengesahan Dalam Perkhidmatan Sebagai Pegawai Perkhidmatan Pendidikan from 1.bp.blogspot.com
Sistem semakan status pengecualian program transformasi minda (ptm). Pemakluman urusan pengisian kekosongan jawatan pem. Apabila permohonan bpr anda diterima, itu bukan bermakna anda akan lulus bantuan ini secara automatik. Statistik transaksi perkhidmatan dalam talian jabatan imigresen malaysia 2020. Penambahbaikan faedah persaraan atas sebab kesihat. Layari portal rasmi suruhanjaya perkhidmatan awam malaysia melalui url. Semakan status pembayaran fasa 1 bpr 2021 boleh disemak dengan log masuk mybpr. Urusan ini bersesuaian dengan prinsip penyampaian bantuan yang berdasarkan kepada kelayakan baca :

*tertakluk kepada urusan perkhidmatan tuan/puan bertarikh & tahun 2013 dan berikutnya melibatkan urusan **pengesahan lantikan(pl) **pengesahan dalam perkhidmatan(pdp) **pemberian taraf berpencen(ptb).

Semakan status bantuan prihatin nasional (bpn). Semakan urusan perkhidmatan suruhanjaya perkhidmatan pendidikan. Walaupun lulus, anda perlu check status samada duit sudah dimasukkan ke dalam akaun bank. Semakan status permohonan kad pengenalan online dan sms. Tema asal tema hijau tema oren warna kontras. 2|5 suruhanjaya perkhidmatan awam malaysia manual pengguna semak status urusan perkhidmatan. Urusan amanah saham nasional berhad (asnb) kini menjadi lebih mudah dengan penambahbaikan perkhidmatan oleh unit amanah itu.antaranya, semua u… permohonan dan semakan status bantuan prihati. Semakan bpn 2.0 kini boleh mula. Pemakluman urusan pengisian kekosongan jawatan pem. Panduan buat anda yang ingin memohon jawatan kosong di sektor perkhidmatan a. Tidak, anda boleh melakukan urusan lanjutan plks di semua cawangan imigresen seluruh negara kecuali bagi warganegara bangladesh yang perlu dilakukan di imigresen. Ini untuk mengetahui status pembayaran dan permohonan anda.semak bantuan bpn adalah bantuan prihatin nasional yang akan memberikan bantuan kewangan kepada mereka yang layak. Falang translation system by faboba.

Senarai bantuan ibu tunggal 2020. Lhdnm tidak menyediakan perkhidmatan pendaftaran bantuan prihatan rakyat (bpr) secara bergerak melalui pegawai bkk, lhdnm yang. Perkhidmatan rehabilitasi (fisio dan ot). Falang translation system by faboba. Bagi pegawai yang sedang berkhidmat, anda perlu mendapatkan pengesahan ketua jabatan (lampiran a) dan ringkasan kenyataan perkhidmatan (lampiran d) hendaklah dibawa semasa temuduga.

Portal Rasmi Jabatan Perkhidmatan Awam Jpa Urusan Perkhidmatan
Portal Rasmi Jabatan Perkhidmatan Awam Jpa Urusan Perkhidmatan from docs.jpa.gov.my
Penambahbaikan faedah persaraan atas sebab kesihat. Perhatian buat pemohon kad pengenalan atau ic di berikut dikongsikan cara membuat semakan status permohonan mykad online dan sms. Semoga perkhidmatan semakan status permohonan mykad dan mykid secara online dan sms ini bermanfaat buat semua rakyat malaysia. Urusan ini bersesuaian dengan prinsip penyampaian bantuan yang berdasarkan kepada kelayakan baca : Semakan status permohonan rmmj online. Perkhidmatan > semakan status syarikat. Sistem semakan urusan kenaikan pangkat secara online. Sistem semakan status pengecualian program transformasi minda (ptm).

Perkhidmatan > semakan status syarikat.

Cara buat temujanji urusan tabung haji mulai 25 mei 2021 bagi memastikan rantaian penularan wabak covid 19 dengan lebih berkesan, semua operasi dan perkhidmatan kaunter di tabung haji adalah. Perkhidmatan > semakan status syarikat. Semakan status permohonan boleh dibuat dalam tempoh dua (2) hari selepas permohonan/kemas kini dibuat. Kepada pemohon yang telah membuat permohonan spa, selamat membuat semakan status permohonan spa online iaitu keputusan peperiksaan spa dan temuduga secara online. Tiada caj yang dikenakan bagi permohonan bpr. Semakan status pembayaran fasa 1 bpr 2021 boleh disemak dengan log masuk mybpr. Sistem tawaran pelantikan mystp calon. Bagi pegawai yang sedang berkhidmat, anda perlu mendapatkan pengesahan ketua jabatan (lampiran a) dan ringkasan kenyataan perkhidmatan (lampiran d) hendaklah dibawa semasa temuduga. Kekuatan kata laluan ditentukan oleh warna. Panduan buat anda yang ingin memohon jawatan kosong di sektor perkhidmatan a. Statistik transaksi perkhidmatan dalam talian jabatan imigresen malaysia 2020. *tertakluk kepada urusan perkhidmatan tuan/puan bertarikh & tahun 2013 dan berikutnya melibatkan urusan **pengesahan lantikan(pl) **pengesahan dalam perkhidmatan(pdp) **pemberian taraf berpencen(ptb). Semoga perkhidmatan semakan status permohonan mykad dan mykid secara online dan sms ini bermanfaat buat semua rakyat malaysia.

Related : Semakan Status Urusan Perkhidmatan / Semakan status pembayaran bpr di bpr.hasil.gov.my..